There are several types of ultrasonic meter technologies but as Titan Enterprises specialise in low flow using time of flight measurement this is the focus of this feature. Commercially both clamp-on and bespoke low flow flowmeters are available. These both use signals transmitted across the pipe diagonally and in the case of a clamp-on flowmeter a reflected signal. The principle of time-of-flight measurement is very simple. Using this technique injected sound travelling with the fluid flow direction will arrive sooner than flow travelling against the fluid flow. The difference is a direct function of the fluid velocity.
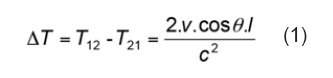
The transit time difference between the downstream and upstream waves is given by Fig. 2
whereΔT - is the difference in the transit times;T12 - is the propagation from transducer 1 to transducer 2;T21 - is the propagation from transducer 2 to transducer 1;v - is the average axial velocity measured along the beam;θ - is the angle between the direction of propagation and the pipe axis;l - is the length of the path over which the integration is made andc - is the speed of sound in the fluid.
Thus resolving the equation Fig. 3
The average velocity measured along the beam is then used to compute the average velocity across the cross section of the channel and hence the flowrate of the fluid through the channel.
For smaller tube diameters there are three basic ultrasonic flowmeter configurations.
This is a similar to the example above but the path is reflected off the opposite side of the conduit to double the path length and thereby increase flowmeter resolution.
An alternative arrangement (right) where the signal is purely axial. There is unnecessary turbulence around the change in direction which varies with flow and can upset the ultrasound transmission.
This system below uses 45° “reflectors” in the fluid path to bounce the signal from perpendicular to horizontal in line with the flow. Again the reflectors are actually in the flow so create turbulence depending upon the fluid Reynolds number.
While all these designs have advantages they also have shortfalls. As a consequence, Titan developed a patented low flow time-of-flight ultrasonic flowmeter design in which we inject the signal so that it travels purely axially without any reflections or disturbance to the fluid path (see below).
This arrangement gives very clean signals with little background noise. This improves both the accuracy and dynamic range of the meter. Because of our low frequency of operation the sound in the fluid travels as a plain wave and is fully integrated at the point the signal is received. This reduces the effects of offset velocity profiles and viscosity. There are no “bounced” or secondary signals to distort the flow calculations.















































